Ответы
Ответ дал:
0
Да ты че это изи
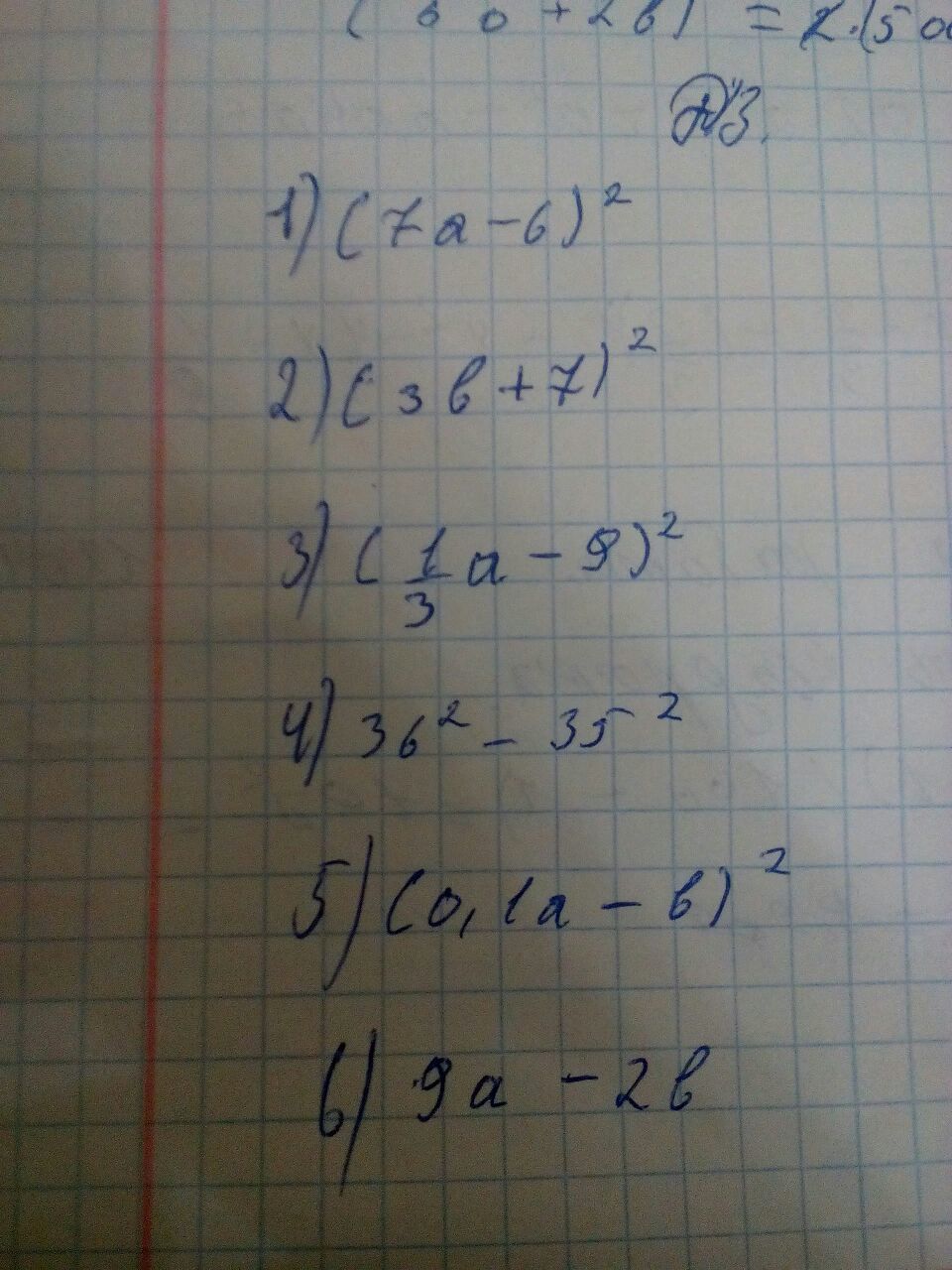
1) (7a-6)^2=7a^2-84a+36
2) (3b+7)^2=3b^2+42b+49
3) (1/3a-9)^2=1/3a^2-6a+81
4) 36^2-35^2=(36-35)(36+35)
5) (0,1a-b)^2=0,1a^2-0,2ab+b^2
6) я фиг знает
1) (7a-6)^2=7a^2-84a+36
2) (3b+7)^2=3b^2+42b+49
3) (1/3a-9)^2=1/3a^2-6a+81
4) 36^2-35^2=(36-35)(36+35)
5) (0,1a-b)^2=0,1a^2-0,2ab+b^2
6) я фиг знает
Вас заинтересует
2 года назад
2 года назад
3 года назад
3 года назад
9 лет назад
9 лет назад
10 лет назад