• Предмет: Алгебра
  • Автор: Аноним
  • Вопрос задан 8 лет назад

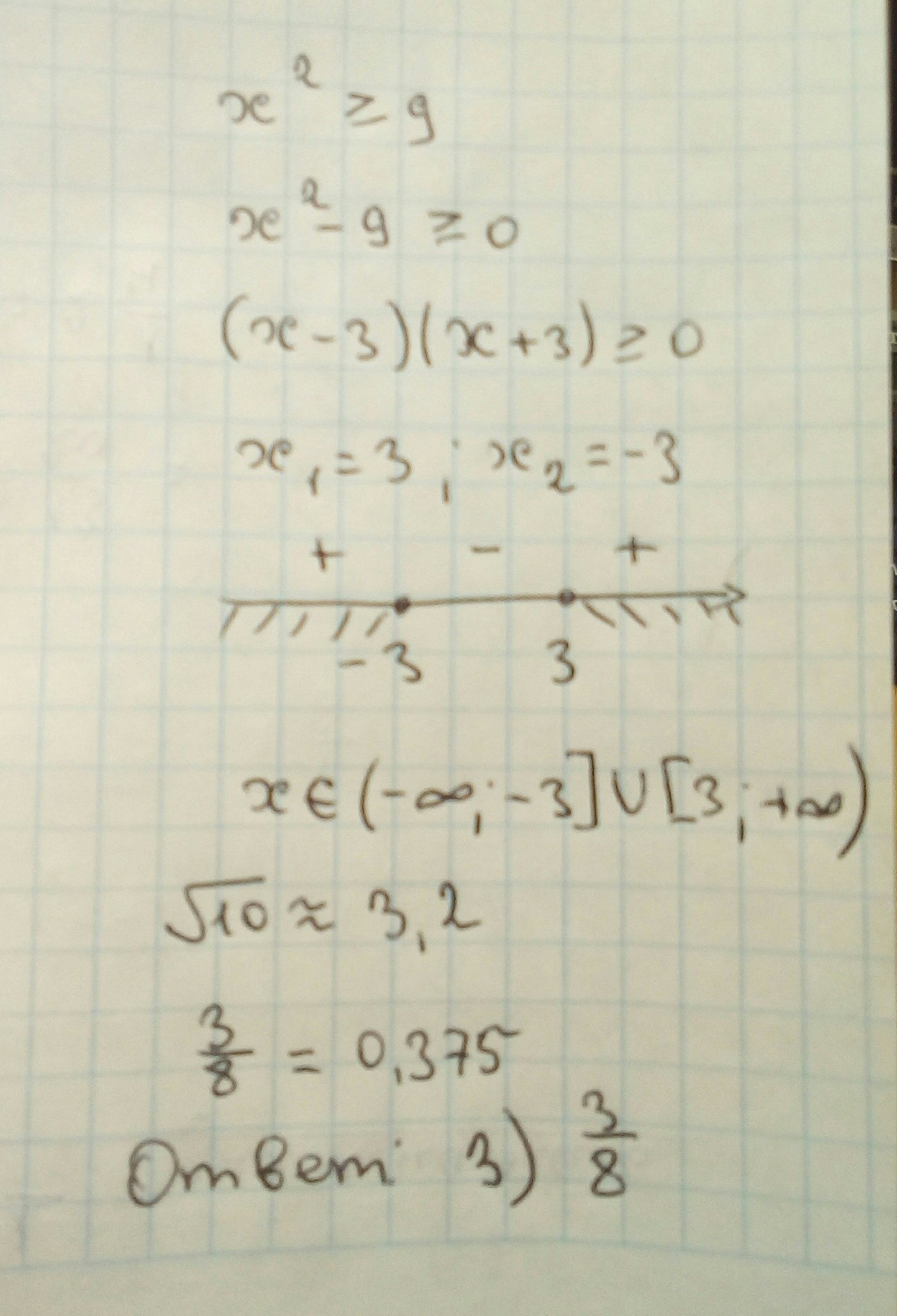
среди чисел корень из 10;-корень из 10;-4 множество неравенства

Приложения:

Ответы

Ответ дал: ЯгодкаЯлесная
0
фоточка тебе в помощь ;)
Приложения:
Вас заинтересует