• Предмет: Математика
  • Автор: andrey08102005k
  • Вопрос задан 8 лет назад

Помогите!!! Заранее спасибо!

Приложения:

Ответы

Ответ дал: smartstar
0
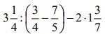
3 целых 1/4:(3/4-7/5)-2*1 целая 3/7=
13/4:(-13/20)-2*10/7=
-13/4*20/13-20/7=
-5-20/7=
-55/7=-7 целых 6/7≈7,85
Ответ дал: andrey08102005k
0
Это приблизительно 7,85?
Ответ дал: smartstar
0
Да.
Ответ дал: andrey08102005k
0
Спасибо!)
Ответ дал: Аноним
0
Спасибо
Ответ дал: Jeltaia
0
 frac{13}{4} div ( frac{15 - 28}{20} ) - frac{2 times 10}{7} = frac{13}{4} times frac{20}{ - 13} - frac{20}{7} = frac{ - 5}{1} - frac{20}{7} = frac{ - 35 - 20}{7} = - frac{55}{7} = - 7 frac{6}{7} ≈7,85
Ответ дал: Аноним
0
Спасибо
Вас заинтересует