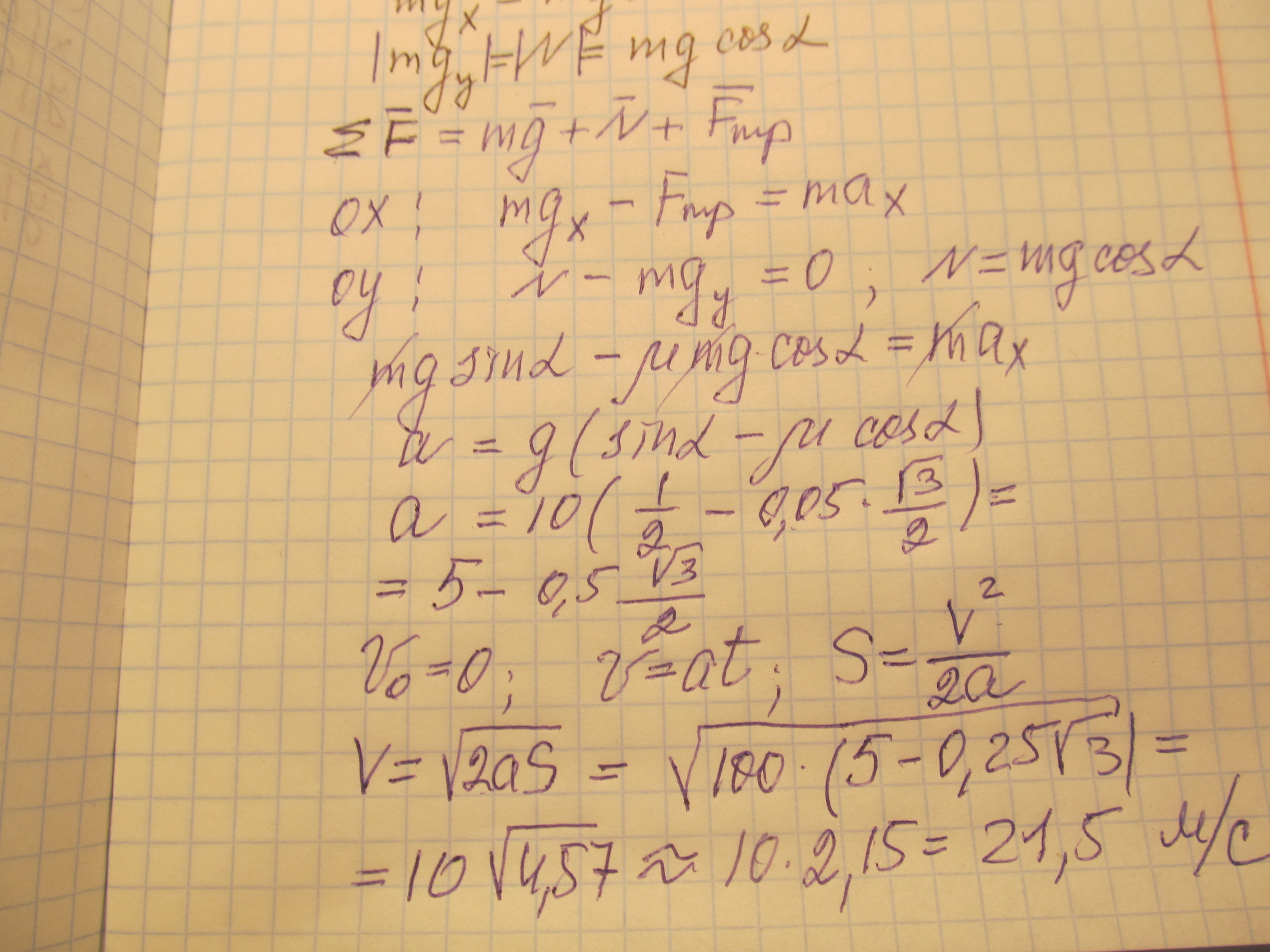
До какой скорости разгонится лыжник массой 70 кг по склону длиной 50 м с коэфициентом трения 0.05? Начальная скорость лыжника - 0. Угол между склоном и горизонтом - 30 градусов
ДАЮ 55 БАЛЛОВ
Ответы
Ответ дал:
0
Решение на 2-х фото//////////
Приложения:


Ответ дал:
0
Я корень примерно подобрала, корень из 4,57=2,137.
Ответ дал:
0
Главное, решения разные, а ускорения 4,57.
Ответ дал:
0
Спасибо огромное!!!!!!
Ответ дал:
0
Вам спасибо за оценку))
Вас заинтересует
2 года назад
3 года назад
3 года назад
9 лет назад
9 лет назад
9 лет назад