• Предмет: Алгебра
  • Автор: Аноним
  • Вопрос задан 8 лет назад

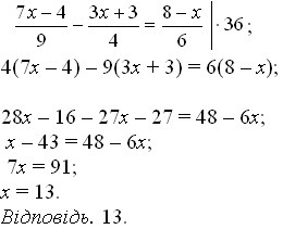
срочно прошу ответ
прально или нет

Приложения:

Ответы

Ответ дал: zinovjeva12Zin
0
Правильно Но лучше бы сама проверила)Но хорошо что спросила)
Ответ дал: sangers1959
0
Правильно. Даже проверил подстановкой.
Вас заинтересует