• Предмет: Физика
  • Автор: batmanarkham
  • Вопрос задан 8 лет назад

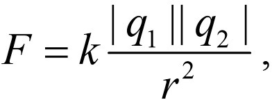
Как найти расстояние в этом формуле

Приложения:

Ответы

Ответ дал: PalaxiK
0
Поменяй местами F и r2.
Потом r=корень квадратный из полученного выражения
Вас заинтересует