Ответы
Ответ дал:
0
Выучить свойства логарифмов и знать что такое умножение.
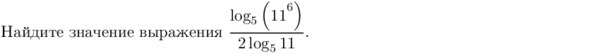
По свойству логарифма, данную дробь можно записать как -

что в свою очередь будет

Либо предположить что тут перешли к новому основанию.
Тогда можно записать как

Записать это не в лог. форме

Так как степени перемножаются, несложно понять что x = 3
По свойству логарифма, данную дробь можно записать как -
что в свою очередь будет
Либо предположить что тут перешли к новому основанию.
Тогда можно записать как
Записать это не в лог. форме
Так как степени перемножаются, несложно понять что x = 3
Ответ дал:
0
спасибо!!!!!
Вас заинтересует
2 года назад
2 года назад
3 года назад
3 года назад
9 лет назад
9 лет назад