• Предмет: Математика
  • Автор: JJJJJJ28
  • Вопрос задан 8 лет назад

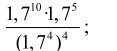
Решите по быстренькому, отблагодарю!

Приложения:

Ответа на этот вопрос пока нет. Попробуйте найти его через форму поиска.

Вас заинтересует