Ответы
Ответ дал:
0
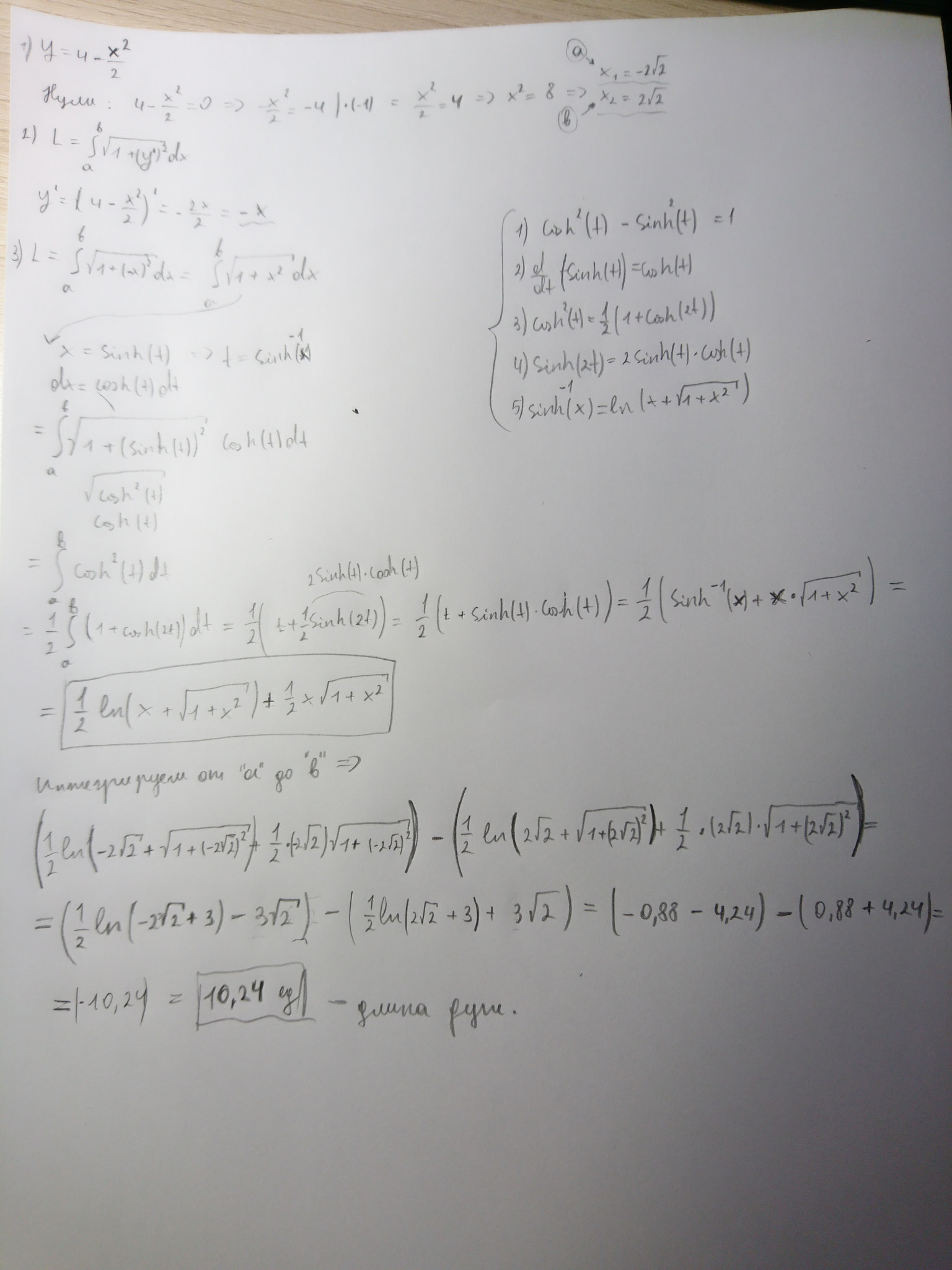
Должно получиться как-то так
Приложения:

Ответ дал:
0
Спасибо)
Вас заинтересует
2 года назад
3 года назад
3 года назад
9 лет назад
9 лет назад