Ответы
Ответ дал:
0
.........................................
Приложения:

Ответ дал:
0
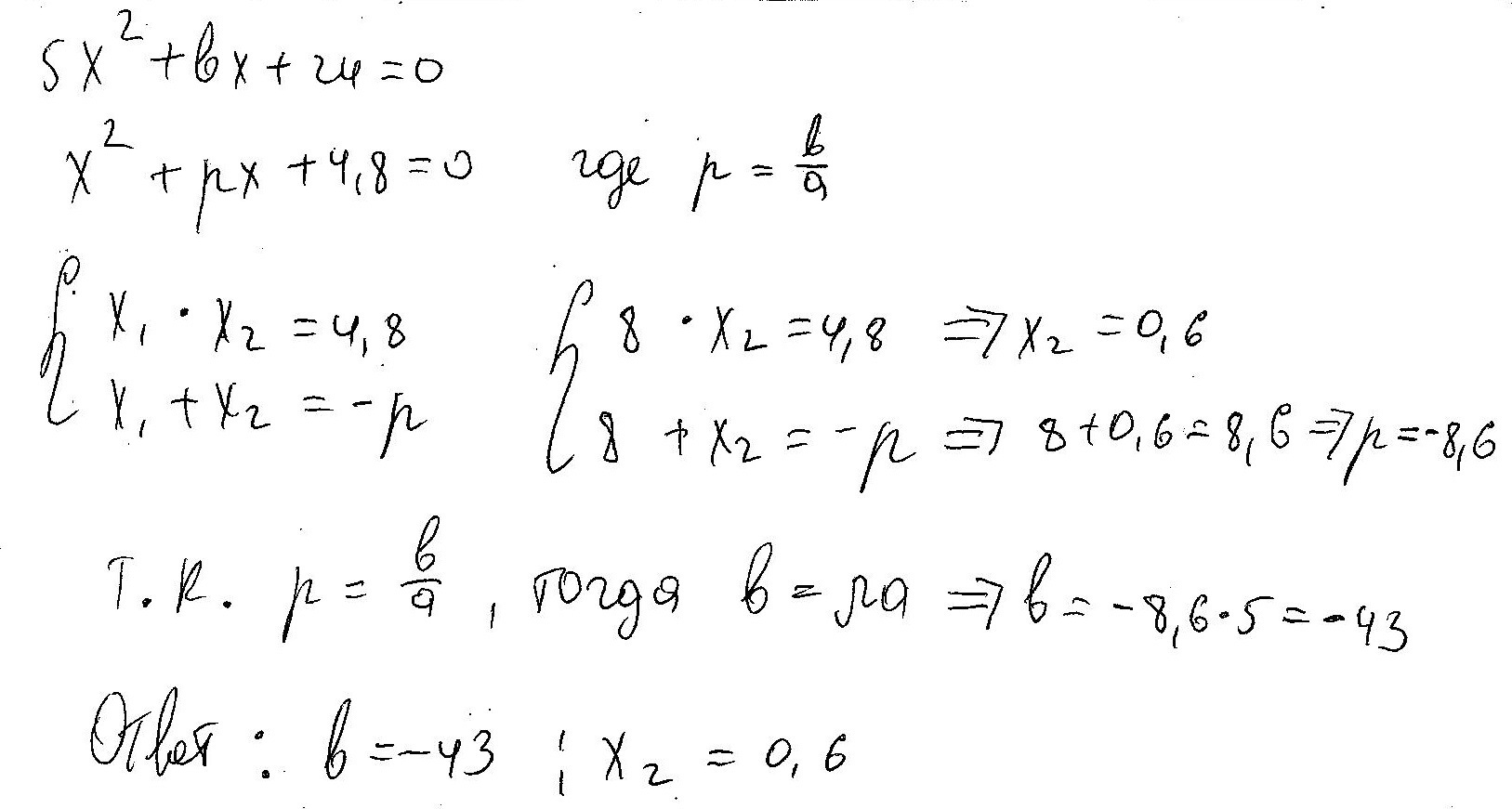
1 способ. Теорема Виета:
ах + bx + c = 0
x₁ + x₂ = - b/a
x₁ * x₂ = c/a
5x² + bx + 24 = 0
при х₁ = 8
Система:
{ 8 + x₂ = - b/5 ⇔ { 8 + x₂ = - 0.2b ⇔ { 0.2b = -(8+x₂)
{ 8x₂ = 24/5 ⇔ { 8x₂ = 4.8 ⇔ {x₂ = 4.8 : 8
{ b = -(8 +x₂)/0.2
{ x₂ = 0.6
b = - (8+0.6)/0.2 = - 8.6/0.2 = - 43
2 способ.
Подставим значение х₁ = 8 в квадратное уравнение:
5 * 8² + b * 8 + 24 = 0
320 + 8b + 24 = 0
8b + 344 = 0
8b = - 344
b = -43
Подставляем коэффициент b в квадратное уравнение:
5х² - 43х + 24 = 0
D = (-43)² - 4*5*24 = 1849 - 480 = 1369 = 37²
D>0 - два корня уравнения
х₁ = ( - (-43) + 37) /(2*5) = (43+37)/10 = 80/10 = 8 (по условию)
х₂ = (- (-43) - 37)/(2*5) = (43-37)/10 = 6/10 = 0,6
Ответ : х₂ = 0,6 ; b = - 43.
ах + bx + c = 0
x₁ + x₂ = - b/a
x₁ * x₂ = c/a
5x² + bx + 24 = 0
при х₁ = 8
Система:
{ 8 + x₂ = - b/5 ⇔ { 8 + x₂ = - 0.2b ⇔ { 0.2b = -(8+x₂)
{ 8x₂ = 24/5 ⇔ { 8x₂ = 4.8 ⇔ {x₂ = 4.8 : 8
{ b = -(8 +x₂)/0.2
{ x₂ = 0.6
b = - (8+0.6)/0.2 = - 8.6/0.2 = - 43
2 способ.
Подставим значение х₁ = 8 в квадратное уравнение:
5 * 8² + b * 8 + 24 = 0
320 + 8b + 24 = 0
8b + 344 = 0
8b = - 344
b = -43
Подставляем коэффициент b в квадратное уравнение:
5х² - 43х + 24 = 0
D = (-43)² - 4*5*24 = 1849 - 480 = 1369 = 37²
D>0 - два корня уравнения
х₁ = ( - (-43) + 37) /(2*5) = (43+37)/10 = 80/10 = 8 (по условию)
х₂ = (- (-43) - 37)/(2*5) = (43-37)/10 = 6/10 = 0,6
Ответ : х₂ = 0,6 ; b = - 43.
Приложения:

Вас заинтересует
2 года назад
2 года назад
3 года назад
3 года назад
9 лет назад
9 лет назад