• Предмет: Алгебра
  • Автор: Nurzhan94
  • Вопрос задан 8 лет назад

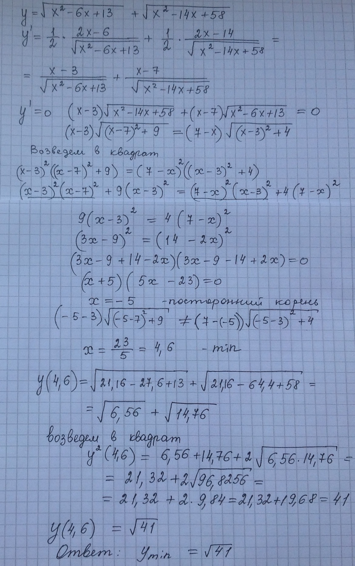
Найдите самый маленький значения функция y=sqrt{x^2 -6x+13}+sqrt{x^2 -14x+58}

Ответы

Ответ дал: tamarabernukho
0
Фото Фото фото фото фото фото
Приложения:
Вас заинтересует