• Предмет: Алгебра
  • Автор: borzyhekaterina
  • Вопрос задан 8 лет назад

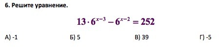
РЕШИТЕ УРАВНЕНИЕ, ПОЖАЛУЙСТА

Приложения:

Ответы

Ответ дал: Изобелла6789
0
Ответ под букой б)
              х-3
(13-6)*6       =252
      х-3
7*6      =252
   х-3
6      =36
  х-3      2
6      =6
х-3=2
х=2+3
х=5
Вас заинтересует