• Предмет: Алгебра
  • Автор: gansalek
  • Вопрос задан 11 лет назад

решите пожалуйста) помогите

Приложения:

Ответы

Ответ дал: NNNLLL54
0
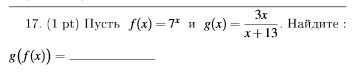
g(f(x))=frac{3cdot 7^{x}}{7^{x}+13}
Вас заинтересует