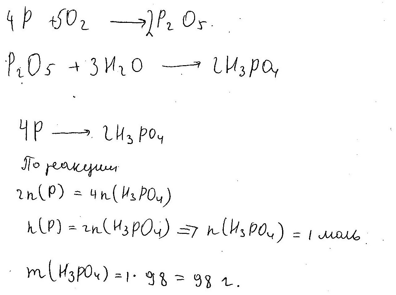
Сожгли 2 моля фосфора.Полученный оксид растворили в воде.Расчитайте, сколько граммов ортофосфорной кислоты при этом получено.
Ответы
Ответ дал:
0
....................
Приложения:

Вас заинтересует
2 года назад
2 года назад
3 года назад
3 года назад
9 лет назад
9 лет назад