докажите что при всех допустимых значениях переменной значение выражения неотрицательны:
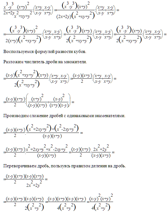
x^3-y^32x+2y * (x+y)^2x^2+xy+y^2 : (x+yx-y + x-yx+y)
Ответы
Ответ дал:
0
Что и требовалось доказать.........
Приложения:

Вас заинтересует
2 года назад
2 года назад
8 лет назад
8 лет назад
10 лет назад
10 лет назад
10 лет назад