Ответы
Ответ дал:
0
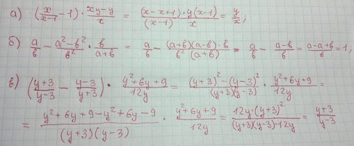
(х/(х-1)-1)*((ху-у)/х)=((х-х+1)/(х-1))*(у*(х-1)/х)=у/х
(a/b)-((a^2-b^2)/b^2)/((a+b)/b)=(a/b)-((a-b)*(a+b)/b^2)*(b/(a+b))=(a/b)-((a-b)/b)=(a-a+b)/b=1
((y+3)/(y-3)-(y-3)/(y+3))/(12y/(y^2+6y+9))=(((y+3)^2-(y-3)^2/((y+3)*(y-3)))*((y+3)^2/12y)=((y^2+6y+9-y^2+6y-9)/((y+3)*(y-3))*((y+3)^2/12y)=((12y/((y+3)*(y-3))*((y+3)^2/12y)=(y+3)/(y-3)
(a/b)-((a^2-b^2)/b^2)/((a+b)/b)=(a/b)-((a-b)*(a+b)/b^2)*(b/(a+b))=(a/b)-((a-b)/b)=(a-a+b)/b=1
((y+3)/(y-3)-(y-3)/(y+3))/(12y/(y^2+6y+9))=(((y+3)^2-(y-3)^2/((y+3)*(y-3)))*((y+3)^2/12y)=((y^2+6y+9-y^2+6y-9)/((y+3)*(y-3))*((y+3)^2/12y)=((12y/((y+3)*(y-3))*((y+3)^2/12y)=(y+3)/(y-3)
Ответ дал:
0
Да уж, такие задания лучше решать в таком виде..
Удачи :)
Удачи :)
Приложения:
Вас заинтересует
3 года назад
3 года назад
11 лет назад
11 лет назад