• Предмет: Математика
  • Автор: ruzan4iki
  • Вопрос задан 8 лет назад

Помогите решить!!!
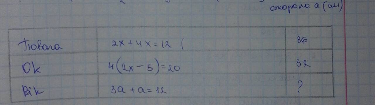
Нужно найти число, вместо которого стоит знак вопроса!
Любым способом, который подходит для 6 класса

Приложения:

Ответы

Ответ дал: П0м0гат0р
0
3а + а = 12
4а = 12
а = 12 : 4
а = 3
Ответ: 3
Ответ дал: П0м0гат0р
0
Каким образом нашли тогда два первых числа?
Ответ дал: ruzan4iki
0
Они были уже даны
Ответ дал: П0м0гат0р
0
А слева что написано?
Ответ дал: ruzan4iki
0
Повага, Ок, вiк =уважение, ок, возраст
Ответ дал: ruzan4iki
0
Что такое ОК я не знаю
Вас заинтересует