Ответы
Ответ дал:
0
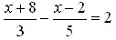
Умножим обе стороны на 15, получим:
5(x+8) - 3(x-2) = 15*2
5x + 40 - 3x + 6 = 30
2x + 46 = 30
2x = 30 - 46
2x = -16
x = -8
5(x+8) - 3(x-2) = 15*2
5x + 40 - 3x + 6 = 30
2x + 46 = 30
2x = 30 - 46
2x = -16
x = -8
Ответ дал:
0
спс
Вас заинтересует
2 года назад
3 года назад
3 года назад
9 лет назад
10 лет назад