Ответы
Ответ дал:
0
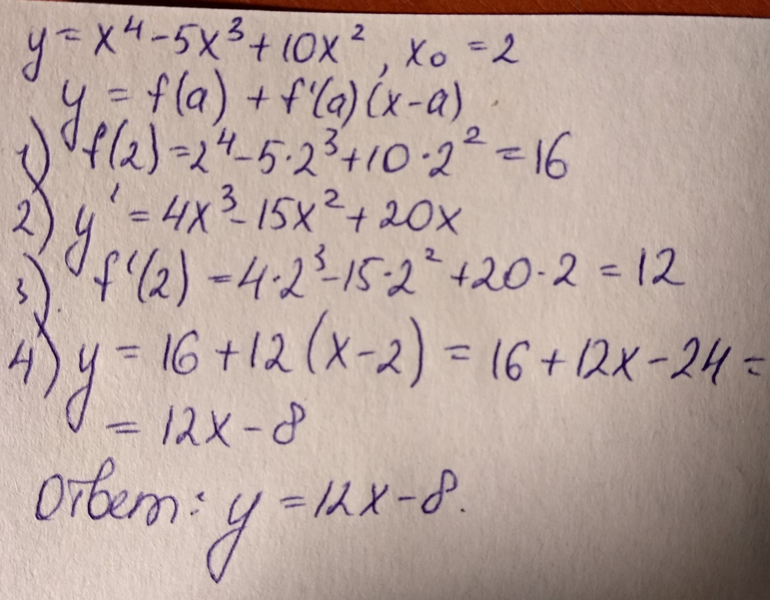
Вспоминаем уравнение касательной и просто находим все, что там есть (производную в заданной точке, значение функции в заданной точке)
Приложения:

Вас заинтересует
2 года назад
2 года назад
3 года назад
9 лет назад
9 лет назад