Помогите с решением задачи,
номер 7 из Кима по ОГЭ 2017г.
С пояснением выполнения и ходом работы
Приложения:

Ответы
Ответ дал:
0
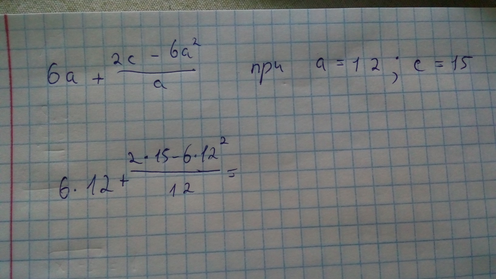
Ты сперва должна упростить, а только потом подставлять
Приложения:

Ответ дал:
0
2*50/12. Откуда 50 появилось?
Ответ дал:
0
не, это зачёркнуто, просто 2*15
Ответ дал:
0
вот теперь всё понял. спасибо
Ответ дал:
0
не за что обращаййся
Вас заинтересует
2 года назад
2 года назад
3 года назад
3 года назад
9 лет назад
9 лет назад