• Предмет: Математика
  • Автор: 3Jlou4uTer
  • Вопрос задан 8 лет назад

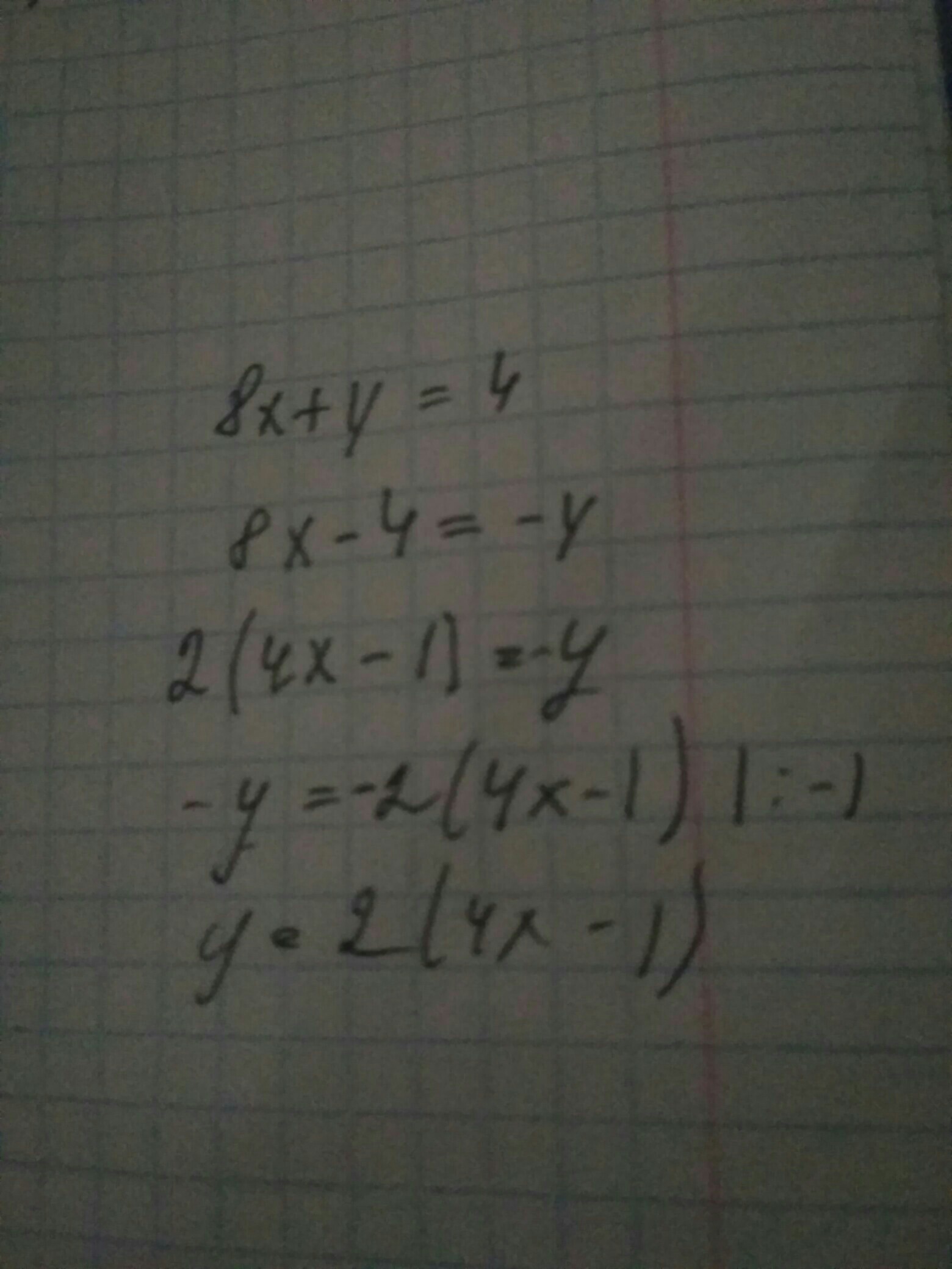
Выразите у через х в линейном уравнении 8х+у=4

Ответы

Ответ дал: milenss
0
Вроде так если я правильно поняла
Приложения:
Вас заинтересует