• Предмет: Математика
  • Автор: Hardwell
  • Вопрос задан 11 лет назад

Необходимо упростить выражение и найти его значение при x = 100 и y = 576.

Ну найти значение я и сам смогу, мне бы упростить только...

 

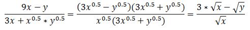
 frac{9x-y }{3x + x^{0.5} * y^{0.5}}

 

 

Ответы

Ответ дал: IKnower
0
Числитель можно разложить на разность квадратов, а в знаменателе вынести корень из х.
Приложения:
Ответ дал: Uka1
0
(3x^0.5-y^0.5)/x^0.5=
Подставь числа и вычисли
Приложения:
Вас заинтересует