• Предмет: Математика
  • Автор: alinaLive11111
  • Вопрос задан 8 лет назад

Решите пожалуйста пример за 12 баллов!!!
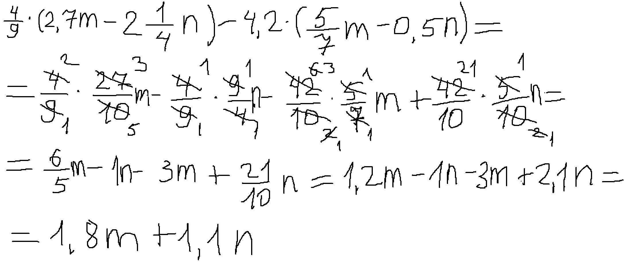
49*(2,7m-две целых одна четвёртая n)-4,2*(57m-0,5 n)

Ответы

Ответ дал: kristina00
0
решение на фото)))))))
Приложения:
Ответ дал: alinaLive11111
0
Cпасибки!я твоя должника!
Вас заинтересует