Ответы
Ответ дал:
0
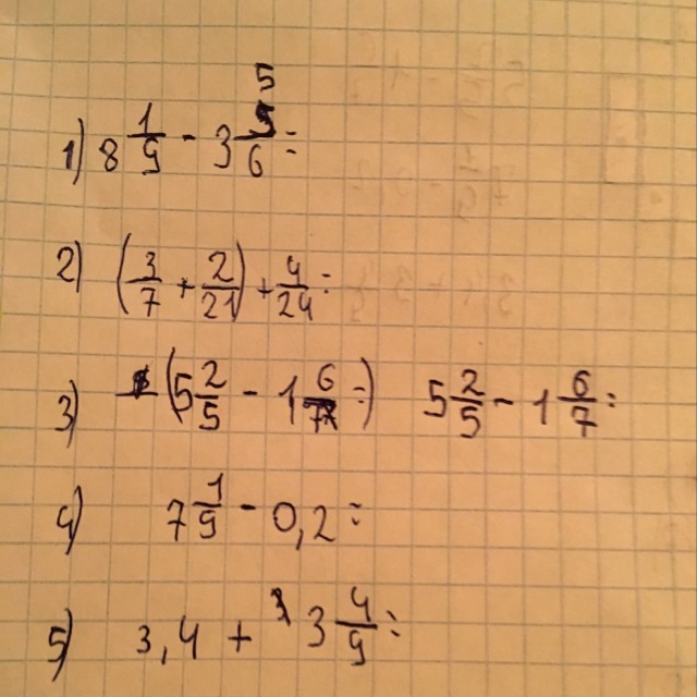
1) 8 1/9 - 3 5/6 = 73/9 - 23/6 = 146/18 - 69/18 = 77/18 = 4 5/18
2) (3/7 + 2/21) + 4/24 = (9/21 + 2/21 ) + 4/24 = 11/21 + 4 /24 = 11/21 + 1/6 = = 66/126 + 21/126 = 87/126 = 1 39/126 = 1 13/42
3) 5 2/5 - 1 6/7 = 27/5 - 13/7 = 189/35 - 65/35 = 124/35 = 3 19/35
4) 7 1/9 - 0,2 = 64/9 - 2/10 = 64/9 - 1/5 = 320/45 - 9/45 = 311/45 = 6 41/45
5) 3,4 + 3 4/9 = 3 4/10 + 31/9 = 3 2/5 + 31/9 = 17/5 + 31/9 = 153/45 + 155/45 =
= 308/45 = 6 38/45
2) (3/7 + 2/21) + 4/24 = (9/21 + 2/21 ) + 4/24 = 11/21 + 4 /24 = 11/21 + 1/6 = = 66/126 + 21/126 = 87/126 = 1 39/126 = 1 13/42
3) 5 2/5 - 1 6/7 = 27/5 - 13/7 = 189/35 - 65/35 = 124/35 = 3 19/35
4) 7 1/9 - 0,2 = 64/9 - 2/10 = 64/9 - 1/5 = 320/45 - 9/45 = 311/45 = 6 41/45
5) 3,4 + 3 4/9 = 3 4/10 + 31/9 = 3 2/5 + 31/9 = 17/5 + 31/9 = 153/45 + 155/45 =
= 308/45 = 6 38/45
Вас заинтересует
2 года назад
2 года назад
3 года назад
3 года назад
9 лет назад
9 лет назад