Ответы
Ответ дал:
0
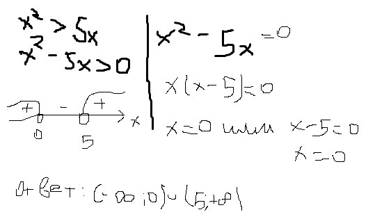
Это неравенство, так.. Для начала) И оно решается методом интервалов.
Сори что так коряво, мышкой не удобно писать вообще)
Сори что так коряво, мышкой не удобно писать вообще)
Приложения:

Вас заинтересует
2 года назад
3 года назад
3 года назад
9 лет назад
9 лет назад