Ответы
Ответ дал:
0
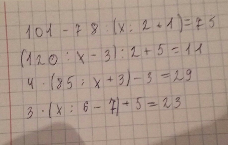
1) 101 - 78:(Х:2+1)=75
78:(Х:2+1)=101-75
78:(Х:2+1)=26
(Х:2+1)=78:26
Х:2+1=3
Х:2=3-1
Х:2=2
Х=2*2
Х=4
2) (120:Х-3):2+5=11
(120:Х-3):2=11-5
(120:Х-3):2=6
120:Х-3=2*6
120:Х-3=12
120:Х=12+3
120:Х=15
Х=120:15
Х=8
3) 4*(85:Х+3)-3=29
4*(85:Х+3)=29+3
4*(85:Х+3)=32
(85:Х+3)=32:4
85:Х+3=8
85:Х=8-3
85:Х=5
Х=17
4) 3* (Х:6-7)+5=23
3*(Х:6-7)=23-5
3*(Х:6-7)=18
Х:6-7=18:3
Х:6-7=6
Х:6 =7+6
Х:6=13
Х=13*6
Х=78
78:(Х:2+1)=101-75
78:(Х:2+1)=26
(Х:2+1)=78:26
Х:2+1=3
Х:2=3-1
Х:2=2
Х=2*2
Х=4
2) (120:Х-3):2+5=11
(120:Х-3):2=11-5
(120:Х-3):2=6
120:Х-3=2*6
120:Х-3=12
120:Х=12+3
120:Х=15
Х=120:15
Х=8
3) 4*(85:Х+3)-3=29
4*(85:Х+3)=29+3
4*(85:Х+3)=32
(85:Х+3)=32:4
85:Х+3=8
85:Х=8-3
85:Х=5
Х=17
4) 3* (Х:6-7)+5=23
3*(Х:6-7)=23-5
3*(Х:6-7)=18
Х:6-7=18:3
Х:6-7=6
Х:6 =7+6
Х:6=13
Х=13*6
Х=78
Вас заинтересует
2 года назад
3 года назад
3 года назад
9 лет назад