• Предмет: Алгебра
  • Автор: vipamalia03
  • Вопрос задан 8 лет назад

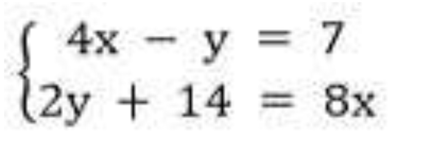
Выясните, имеет ли решение система уравнений. Если имеет, то сколько:

Приложения:

Ответа на этот вопрос пока нет. Попробуйте найти его через форму поиска.

Вас заинтересует