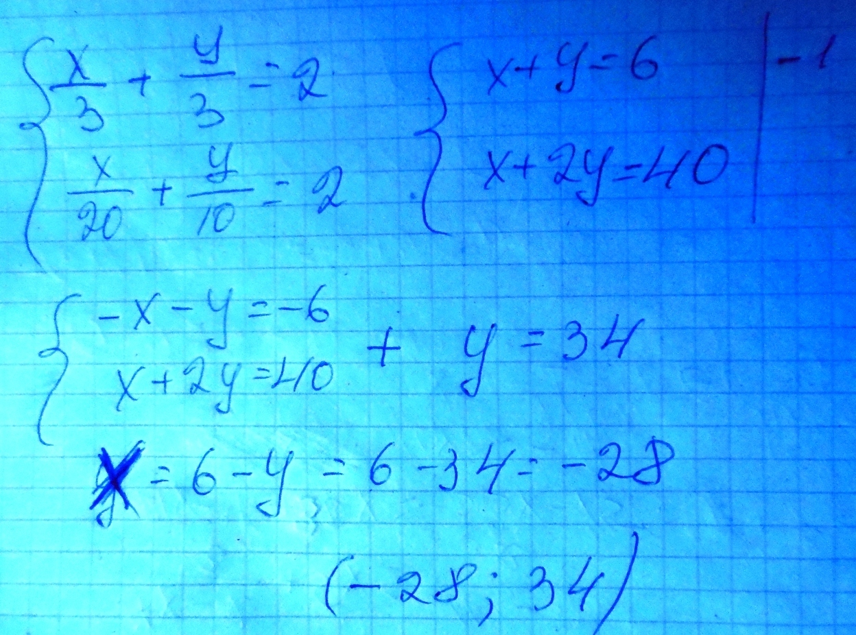
Реши систему уравнений методом алгебраического сложения.
x/3+y/3=2
x/20+y/10=2
СРОЧНО
ЗАРАНЕЕ СПАСИБО
Ответы
Ответ дал:
0
!!!!!!!!!!!!!!!!!!!!!!!!!!
Приложения:
Вас заинтересует
2 года назад
2 года назад
3 года назад
3 года назад
9 лет назад
9 лет назад
10 лет назад