Ответы
Ответ дал:
0
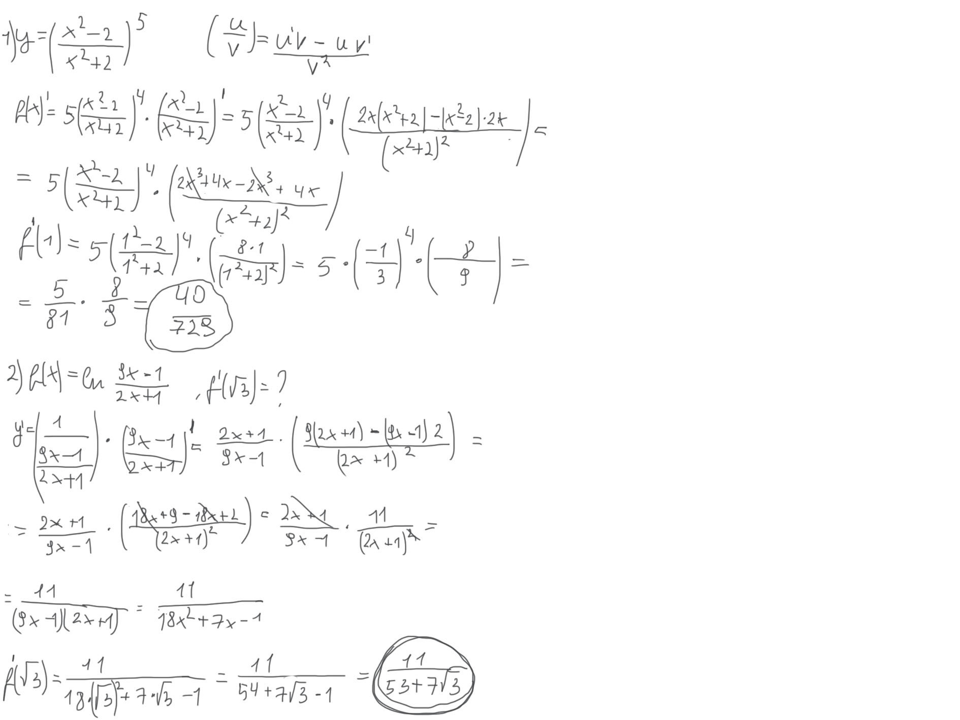
Первое и второе должно быть правильно (проверено в вольфрам-алфа), а вот в 3-ем где-то небольшая ошибка...
Приложения:


Вас заинтересует
2 года назад
2 года назад
3 года назад
3 года назад
9 лет назад
9 лет назад
9 лет назад