• Предмет: Алгебра
  • Автор: innalashtabovа
  • Вопрос задан 8 лет назад

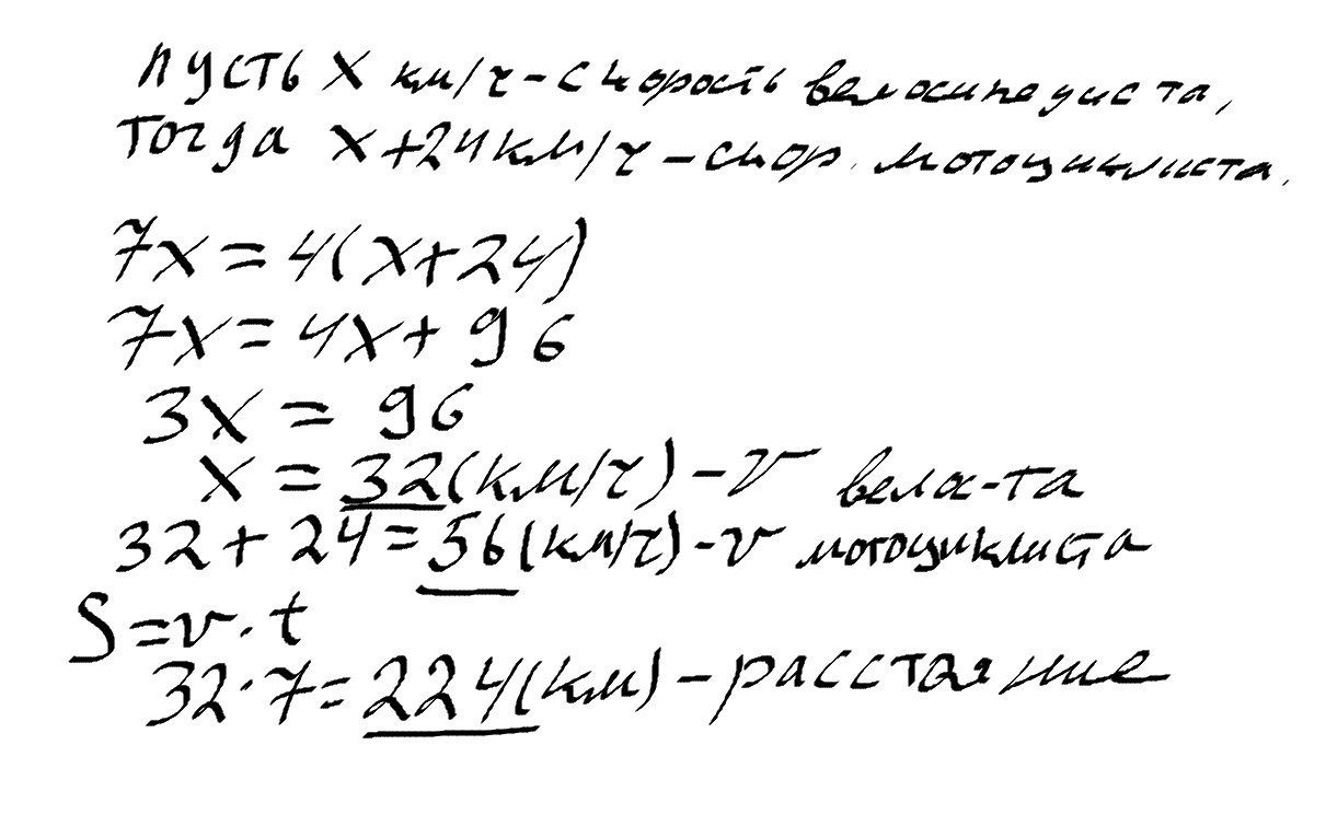
Расстояние между городами мотоциклист проехал за 4 часа а велосипедист проехал за 7 часов. Скорость велосипедиста на 24 км/ч меньше скорости мотоциклиста. Вычисли скорости велосипедиста и мотоциклиста и расстояние между городами.

Ответы

Ответ дал: soadkorn
0
решение в прикрепленном файле
Приложения:
Вас заинтересует