Ответы
Ответ дал:
0
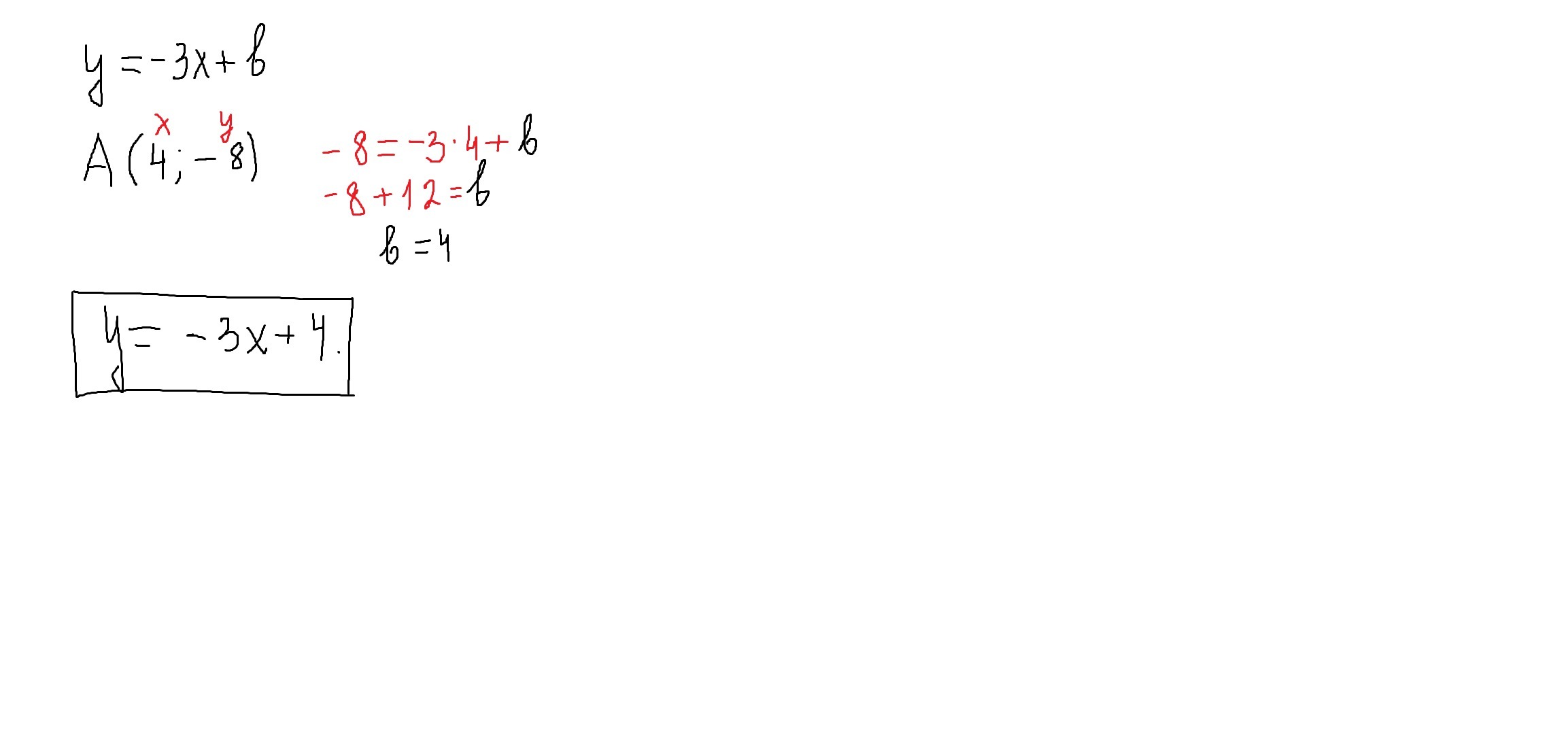
если график проходит через точку,с заданными координатами,то если подставить эти координаты в уравнение графика должно получиться верное равенство.Подставив эти значения найдем "в" и запишем функцию в виде у= -3х+4.
проверим все точки 1) -10=-3*5+4=-15+4=-11 неверно,значит не проходит через эту точку
2) -24=-3*8+4=-24+4=-20 неверно,не проходит
3) 21=-3*(-6)+4=18+4=22 неверно ,не проходит
4) -17=-3*7+4=-21+4=-17 верно,проходит
проверим все точки 1) -10=-3*5+4=-15+4=-11 неверно,значит не проходит через эту точку
2) -24=-3*8+4=-24+4=-20 неверно,не проходит
3) 21=-3*(-6)+4=18+4=22 неверно ,не проходит
4) -17=-3*7+4=-21+4=-17 верно,проходит
Приложения:
Вас заинтересует
2 года назад
3 года назад
3 года назад
9 лет назад
10 лет назад
10 лет назад