Ответы
Ответ дал:
0
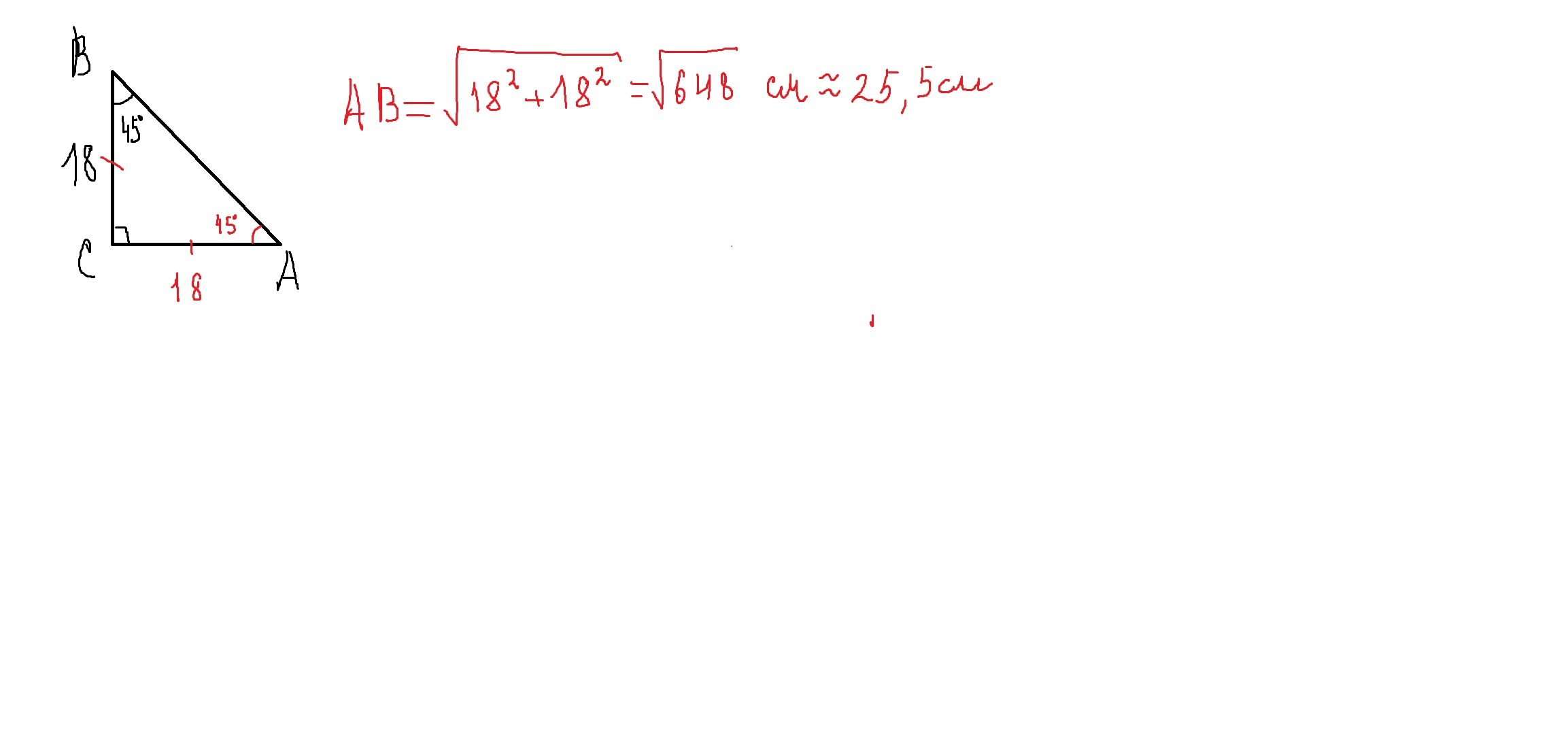
в прямоугольном треугольнике сумма углов равна 90+∠В+∠А=180°
∠В=45° тогда ∠А=180°-90°-45°=45°.Значит ΔАВС равнобедренный и сторона АС=18 см. по т.Пифагора найдем гипотенузу АВ
∠В=45° тогда ∠А=180°-90°-45°=45°.Значит ΔАВС равнобедренный и сторона АС=18 см. по т.Пифагора найдем гипотенузу АВ
Приложения:
Ответ дал:
0
Большое Вам спасибо!
Ответ дал:
0
пожалуйста
Вас заинтересует
2 года назад
2 года назад
3 года назад
9 лет назад
10 лет назад