• Предмет: Математика
  • Автор: liudacica
  • Вопрос задан 8 лет назад

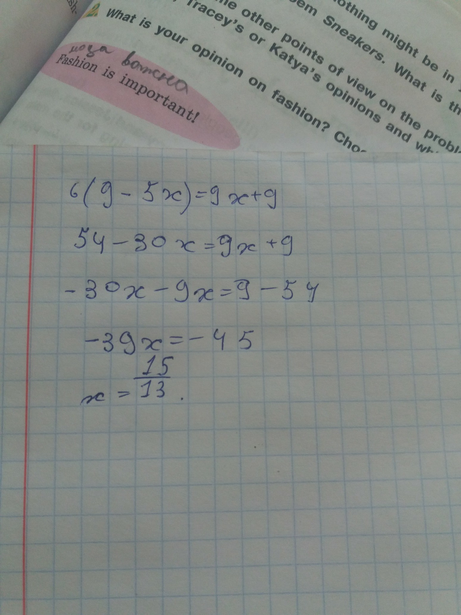
Помогите решить!!, - 6(9-5x)=9x+9

Ответы

Ответ дал: fjbhz
0
смотри)/////////////////////////////
Приложения:
Ответ дал: 8765432109
0
-6(9-5х)=9х+9
-54+30х=9х+9
30х-9х=9+54
21х=63
х=63:21
х=3
Приложения:
Вас заинтересует