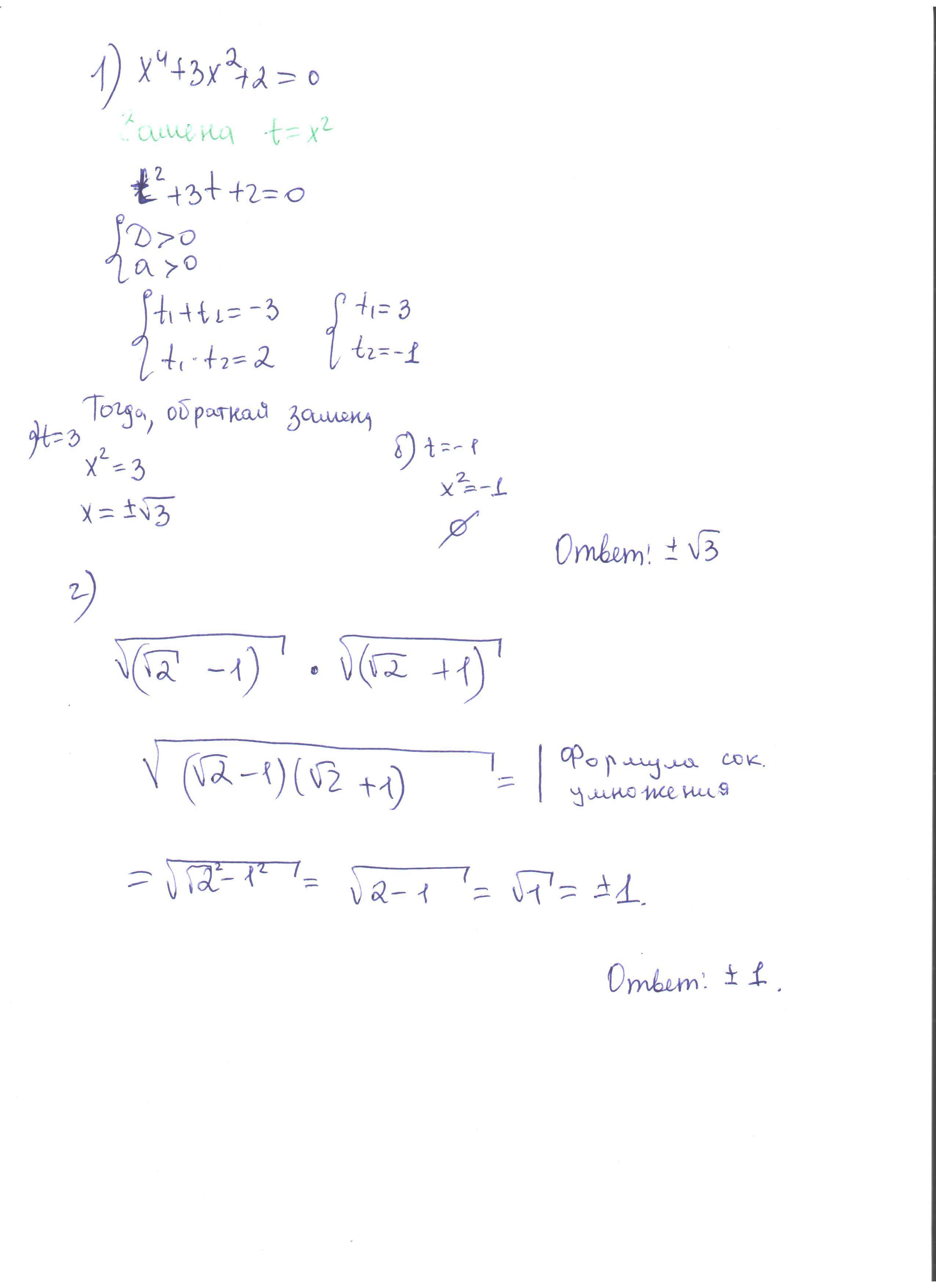
1. Найдите количество целых корней уравнения x⁴+3x²+2=0 (с решением)
2. √(√(2)-1)*√(√(2)+1) (с решением)
Ответы
Ответ дал:
0
Доброе утро
Только проверь я правильно понял условие 2ого задания
Только проверь я правильно понял условие 2ого задания
Приложения:
Вас заинтересует
2 года назад
2 года назад
3 года назад
3 года назад
10 лет назад