Помогите решить!!!
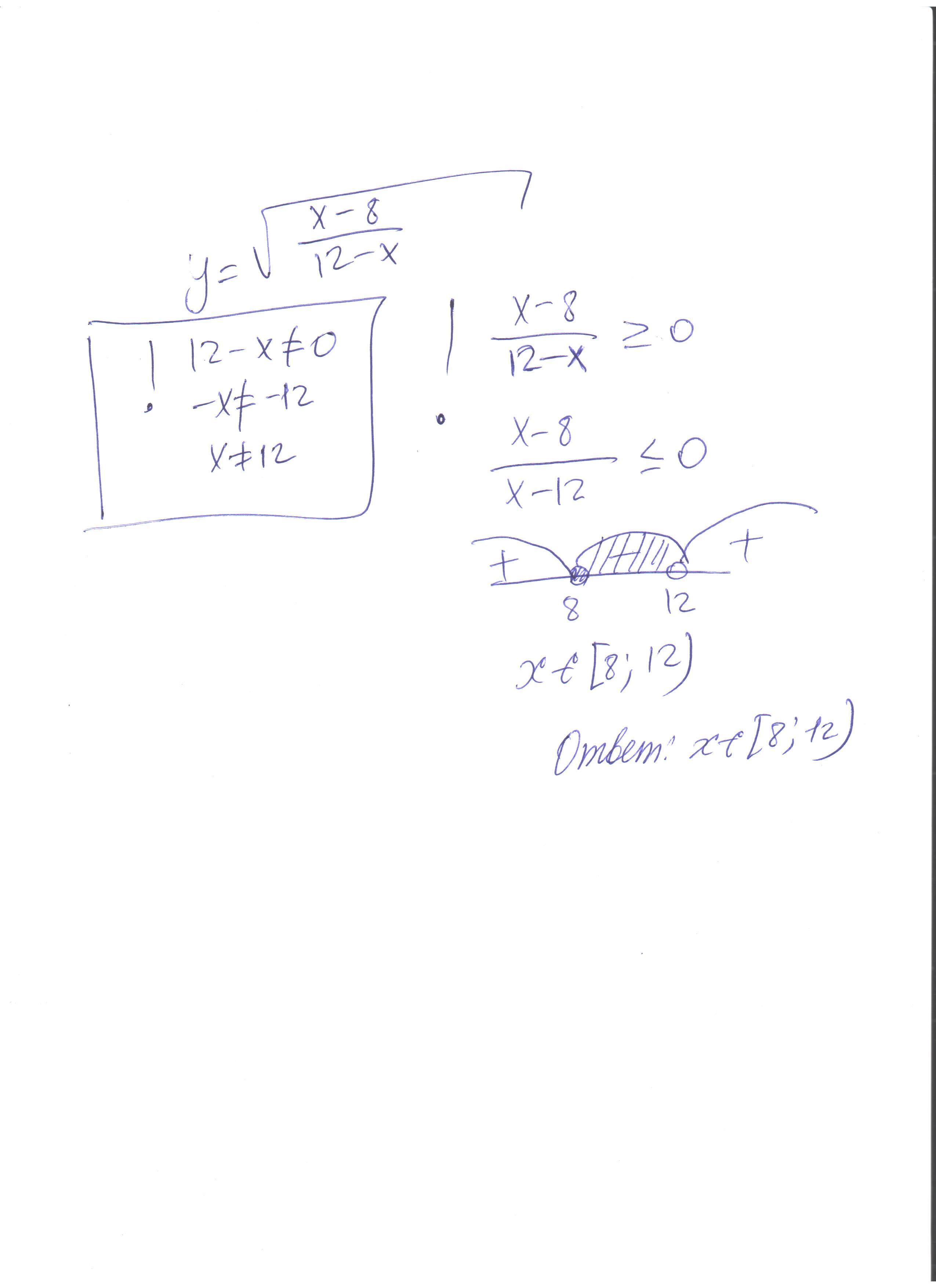
Задание: Найти область определения функции: Условие: y=√x-8/12-x, под корнем вся дробь, дробь это x-8 черта дроби 12-x.
Ответы
Ответ дал:
0
Доброе утро
Решение примерно так
Решение примерно так
Приложения:

Ответ дал:
0
Доброе) Спасибо большое)
Вас заинтересует
2 года назад
3 года назад
3 года назад
9 лет назад
9 лет назад
9 лет назад