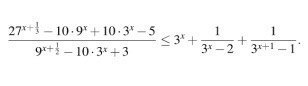
27^(x+1/3) - 10*9^(x) +10*3^(x) -5/9^(x+1/2) -10*3^(x) +3 ≤ 3^(x) +1/3^(x)-2 + 1/3^(x+1) -1
Приложения:

Ответа на этот вопрос пока нет. Попробуйте найти его через форму поиска.
Вас заинтересует
2 года назад
2 года назад
3 года назад
3 года назад
9 лет назад
9 лет назад
9 лет назад