Ответы
Ответ дал:
0
Вот и ответ, и сразу график этой функции
Приложения:

Ответ дал:
0
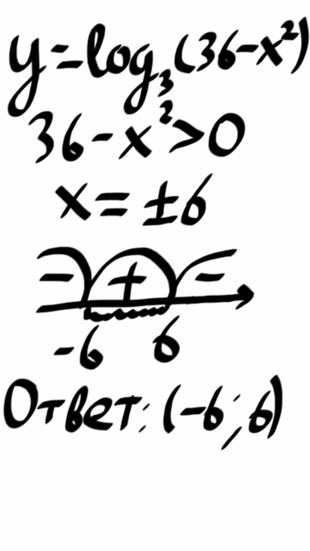
Все решение на фотографии
Приложения:

Вас заинтересует
2 года назад
3 года назад
3 года назад
9 лет назад
9 лет назад