• Предмет: Математика
  • Автор: club0103
  • Вопрос задан 8 лет назад

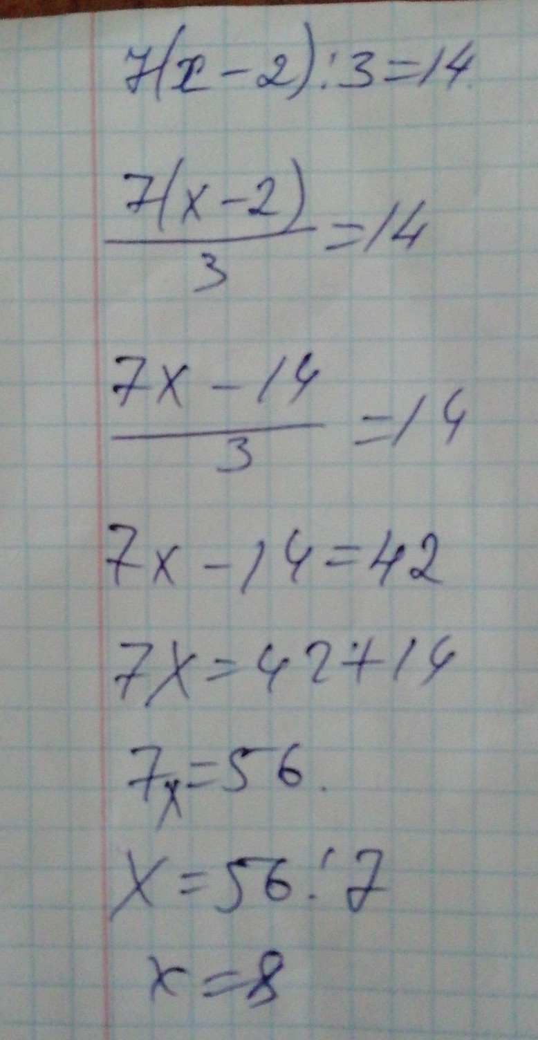
7*(х-2):3=14 решить уравнение

Ответы

Ответ дал: ggg340
0
,.,.,.,..,.,.,.,.,.,.,.,.,.,..,
Приложения:
Вас заинтересует