• Предмет: Алгебра
  • Автор: koloffa
  • Вопрос задан 11 лет назад

Помогите решить данную задачу из C части, если возможно, то с подробным решением, чтобы я мог на примере научиться, огромное спасибо!

Приложения:

Ответы

Ответ дал: NNNLLL54
0
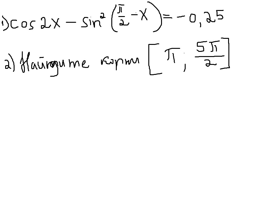
sin(frac{pi}{2}-x)=cosx\cos2x=cos^2x-sin^2x\c0s^2x-sin^2x-cos^2x=-frac{1}{4}\sin^2x=frac{1}{4}\frac{1-cos2x}{2}=frac{1}{4};;to cos2x=frac{1}{2}\2x=pm frac{pi}{3}+2pi n,;nin Z\x=pm frac{pi}{6}+pi n\\2)pi  leq x leq frac{5pi}{2}\a);pi leq frac{pi}{6}+pi n leq frac{5pi}{2}\1 leq frac{1}{6}+n leq frac{5}{2}\frac{5}{6} leq n leq frac{7}{3};;to n=1,2;;x_1=frac{pi}{6}+pi =frac{7pi}{6}\x_2=frac{pi}{6}+2pi =frac{13pi}{6}
b);;pi  leq -frac{pi}{6}+pi n leq frac{5pi}{2}\1+frac{1}{6} leq n leq frac{5}{2}+frac{1}{6}\frac{7}{6}  leq n leq frac{8}{3};;to n=2;;to x_3=-frac{pi}{6}+2pi =frac{11pi}{6}
Вас заинтересует