Ответы
Ответ дал:
0
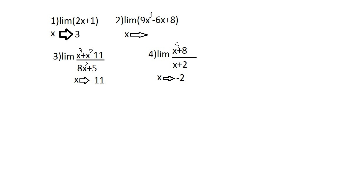
1) lim_{x->3}(2x+1)=(2*3+1)=7
2)
3)lim_{x->(-11)}((x^3+x^2-11)/(8x^2+5))= подставляем и считаем =(-11)^3+(-11)^2-11 / 8*121+5 = -1221/973 ~=-1.25
4)подставяем х, считаем : 2^{3}+8 / -2+2 = 64/0 => lim = бесконечность.
2)
3)lim_{x->(-11)}((x^3+x^2-11)/(8x^2+5))= подставляем и считаем =(-11)^3+(-11)^2-11 / 8*121+5 = -1221/973 ~=-1.25
4)подставяем х, считаем : 2^{3}+8 / -2+2 = 64/0 => lim = бесконечность.
Вас заинтересует
2 года назад
2 года назад
3 года назад
3 года назад
9 лет назад