Ответы
Ответ дал:
0
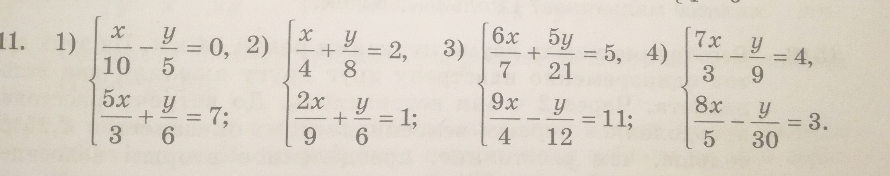
1) ...................
х-2у=0
10х+у=42
х=2у
20у+у=42
х=2у
21у=42
у=2
х=4
2) ................
2х+у=16
4х+3у=18
у=16-2х
4х+3(16-2х)=18
у=16-2х
4х+48-6х=18
у=16-2х
2х=30
х=15
у=16-30
х=15
у= - 14
3) ............
18х+5у=105
27х-у=132 (*5)
18х+5у=105
135х-5у=660 складываем
153х=765
у=27х-132
х=5
у=135-132
х=5
у=3
4) ............
21х-у=36
48х-у=90 (* -1)
21х-у=36
-48х+у= -90 складываем
21х-у=36
-27х= -54
х=2
у=21х-36
х=2
у=6
х-2у=0
10х+у=42
х=2у
20у+у=42
х=2у
21у=42
у=2
х=4
2) ................
2х+у=16
4х+3у=18
у=16-2х
4х+3(16-2х)=18
у=16-2х
4х+48-6х=18
у=16-2х
2х=30
х=15
у=16-30
х=15
у= - 14
3) ............
18х+5у=105
27х-у=132 (*5)
18х+5у=105
135х-5у=660 складываем
153х=765
у=27х-132
х=5
у=135-132
х=5
у=3
4) ............
21х-у=36
48х-у=90 (* -1)
21х-у=36
-48х+у= -90 складываем
21х-у=36
-27х= -54
х=2
у=21х-36
х=2
у=6
Вас заинтересует
2 года назад
3 года назад
9 лет назад
9 лет назад