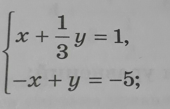
Решите систему уравнений графически
все решать не надо
только как "сокращать систему", ну чтобы был y= и тд
ну кто умеет решать тот поймет
спасибо❣
Приложения:

Ответы
Ответ дал:
0
Вот что у меня получилось, надеюсь нормально
Приложения:

Ответ дал:
0
эм
Ответ дал:
0
не првильно
Ответ дал:
0
там не надо уравнение решать)))))
Вас заинтересует
2 года назад
9 лет назад