• Предмет: Алгебра
  • Автор: nataliyantonov
  • Вопрос задан 8 лет назад

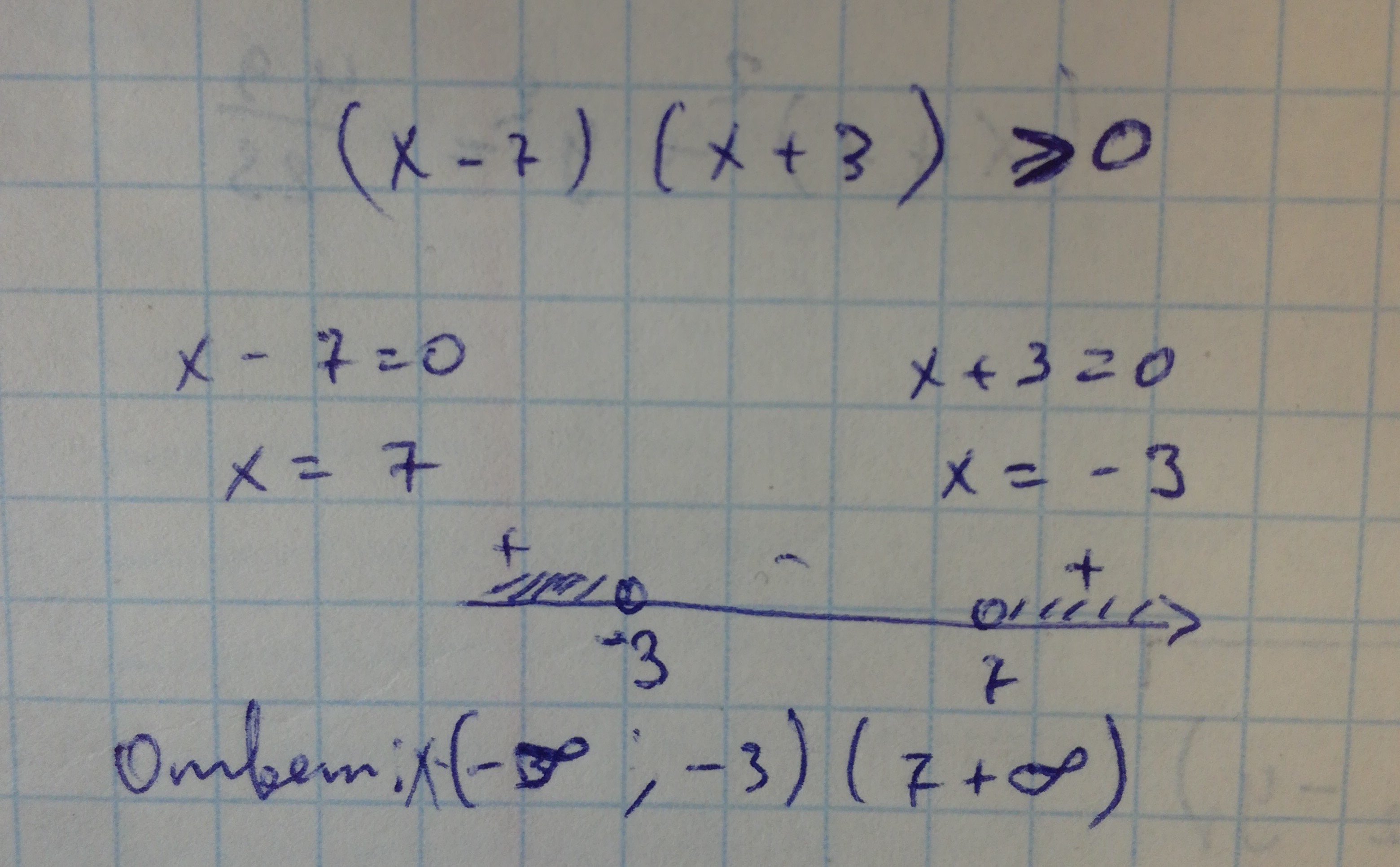
Помогите пожалуйста решить неравенство
(х-7)(х+3) больше 0 с отмеченными точками на прямой

Ответы

Ответ дал: Paty11001
0
..........................
Приложения:
Вас заинтересует