Ответы
Ответ дал:
0
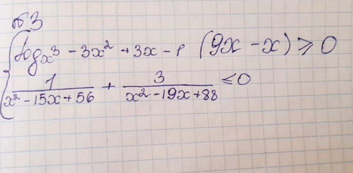
Сначала возимся со 2-м неравенством.
1/(х-7)(х-8) +1/(х-11)(х-8) ≤ 0
(х-11 +х -7)/(х-11)(х-8)(х-7) ≤ 0
(2х -18)/(х-11)(х-8)(х-7) ≤ 0
метод интервалов.
(2х -18) = 0,⇒ х = 9
(х-11) = 0, ⇒ х =11
(х-8) = 0, ⇒ х = 8
(х-7) = 0, ⇒ х = 7
-∞ (7) (8) [9] (11) +∞
- - - + + это знаки (х -8)
- - - - + это знаки (х -11)
- - + + + это знаки (х -8)
- + + + + это знаки (х -7)
IIIIIIIIII IIIIIIIIIIIIII IIIIIIIIIIIIIII это решение нер-ва
Ответ:х∈(-∞; 7)∪(8;9] ∪(11; +∞)
1/(х-7)(х-8) +1/(х-11)(х-8) ≤ 0
(х-11 +х -7)/(х-11)(х-8)(х-7) ≤ 0
(2х -18)/(х-11)(х-8)(х-7) ≤ 0
метод интервалов.
(2х -18) = 0,⇒ х = 9
(х-11) = 0, ⇒ х =11
(х-8) = 0, ⇒ х = 8
(х-7) = 0, ⇒ х = 7
-∞ (7) (8) [9] (11) +∞
- - - + + это знаки (х -8)
- - - - + это знаки (х -11)
- - + + + это знаки (х -8)
- + + + + это знаки (х -7)
IIIIIIIIII IIIIIIIIIIIIII IIIIIIIIIIIIIII это решение нер-ва
Ответ:х∈(-∞; 7)∪(8;9] ∪(11; +∞)
Ответ дал:
0
Сначала возимся со 2-м неравенством.
1/(х-7)(х-8) +1/(х-11)(х-8) ≤ 0
(х-11 +х -7)/(х-11)(х-8)(х-7) ≤ 0
(2х -18)/(х-11)(х-8)(х-7) ≤ 0
метод интервалов.
(2х -18) = 0,⇒ х = 9
(х-11) = 0, ⇒ х =11
(х-8) = 0, ⇒ х = 8
(х-7) = 0, ⇒ х = 7
-∞ (7) (8) [9] (11) +∞
- - - + + это знаки (х -8)
- - - - + это знаки (х -11)
- - + + + это знаки (х -8)
- + + + + это знаки (х -7)
IIIIIIIIII IIIIIIIIIIIIII IIIIIIIIIIIIIII это решение нер-ва
Ответ:х∈(-∞; 7)∪(8;9] ∪(11; +∞) теперь можно возиться со 2-м неравенством
1/(х-7)(х-8) +1/(х-11)(х-8) ≤ 0
(х-11 +х -7)/(х-11)(х-8)(х-7) ≤ 0
(2х -18)/(х-11)(х-8)(х-7) ≤ 0
метод интервалов.
(2х -18) = 0,⇒ х = 9
(х-11) = 0, ⇒ х =11
(х-8) = 0, ⇒ х = 8
(х-7) = 0, ⇒ х = 7
-∞ (7) (8) [9] (11) +∞
- - - + + это знаки (х -8)
- - - - + это знаки (х -11)
- - + + + это знаки (х -8)
- + + + + это знаки (х -7)
IIIIIIIIII IIIIIIIIIIIIII IIIIIIIIIIIIIII это решение нер-ва
Ответ:х∈(-∞; 7)∪(8;9] ∪(11; +∞) теперь можно возиться со 2-м неравенством
Вас заинтересует
2 года назад
3 года назад
3 года назад
9 лет назад
9 лет назад
10 лет назад