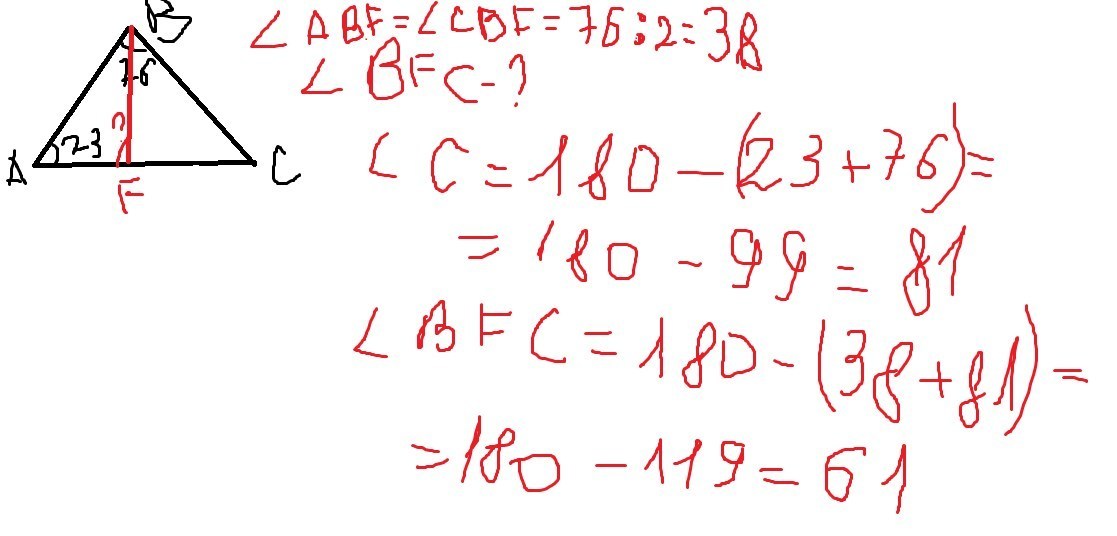
В треугольнике ABC угол A=23 угол B=76 бессиктриссу угла B пересикает сторону AC в точке F.Найти: угол BFC
Ответы
Ответ дал:
0
.............................................
Приложения:

Вас заинтересует
2 года назад
3 года назад
3 года назад
9 лет назад
9 лет назад