Ответы
Ответ дал:
0
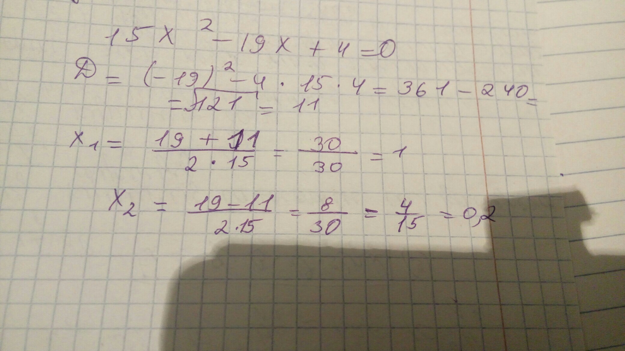
15x^2-19x +4=0
D=19^2 - 4•15•4=361-240=121=11^2
x1=(19-11)/(2•15)=8/30=4/15
x2=(19+11)/(2•15)=30/30=1
Ответ: x1=4/15, x2=1.
D=19^2 - 4•15•4=361-240=121=11^2
x1=(19-11)/(2•15)=8/30=4/15
x2=(19+11)/(2•15)=30/30=1
Ответ: x1=4/15, x2=1.
Ответ дал:
0
это же дискриминант)))
Приложения:

Вас заинтересует
2 года назад
3 года назад
3 года назад
9 лет назад
9 лет назад