• Предмет: Алгебра
  • Автор: 72627
  • Вопрос задан 8 лет назад

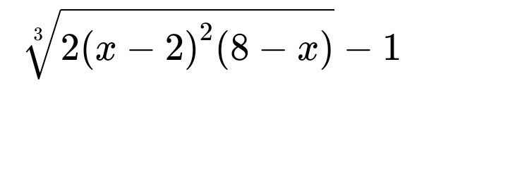
Помогите найти пожалуйста производную !!!!

Приложения:

Ответа на этот вопрос пока нет. Попробуйте найти его через форму поиска.

Вас заинтересует