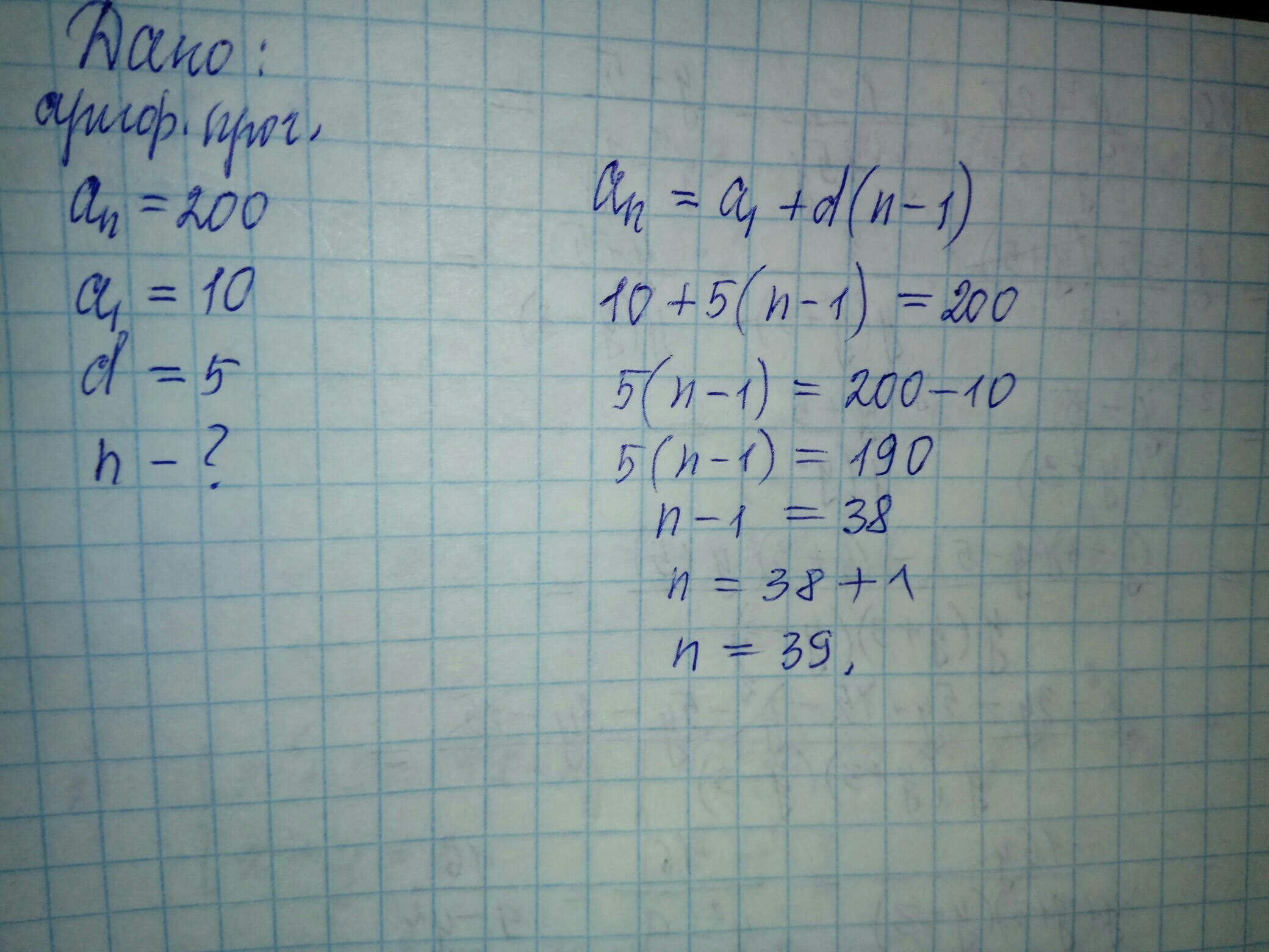
Определить число членов n арифметической прогрессии , если а= 200, а1= 10, d= 5
A) 22
Б) 40
В) 39
Г) 18
Ответы
Ответ дал:
0
ответ в)39 Решение на фото в приложении.
Приложения:

Ответ дал:
0
Спасибо большое
Ответ дал:
0
не за что
Вас заинтересует
2 года назад
2 года назад
3 года назад
9 лет назад
9 лет назад