• Предмет: Алгебра
  • Автор: erikaerika3
  • Вопрос задан 8 лет назад

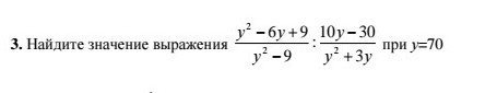
СРОЧНО ПОЖАЛУЙСТА!!!!!!!!!!!

Приложения:

Ответы

Ответ дал: Pandovna
0
.......................
Приложения:
Вас заинтересует