Выполнить действия, применив нужную формулу по следующему образцу:
(2a-2b)(a+b)=2(a-b)(a+b)=2a(во второй степени ) - 2b(во второй степени)
Приложения:
Ответы
Ответ дал:
0
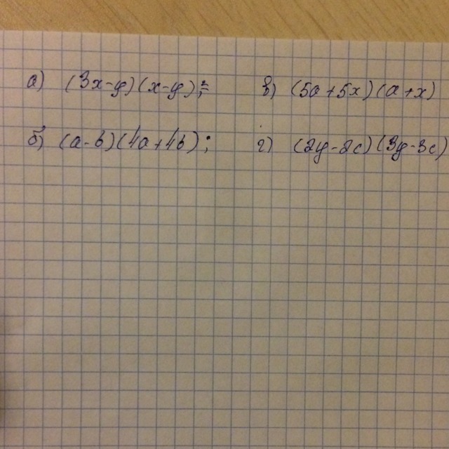
а). (3х-3У)*(х-у)=3(х-у)*(х-у)=3*(х-у)^2=3*(x^2-2xy+y^2)
b). (a-b)*(4a+4b)=4(a-b)*(a+b)=4(a^2-b^2)
в). (5a+5x)(a+x)=5(a+x)^2=5(a^2+2ax+x^2)
г). (2y-2c)(3y-3c)=2(y-c)*3(y-c)=6(y^2-2yc+c^2)
b). (a-b)*(4a+4b)=4(a-b)*(a+b)=4(a^2-b^2)
в). (5a+5x)(a+x)=5(a+x)^2=5(a^2+2ax+x^2)
г). (2y-2c)(3y-3c)=2(y-c)*3(y-c)=6(y^2-2yc+c^2)
Вас заинтересует
2 года назад
2 года назад
3 года назад
3 года назад
9 лет назад
10 лет назад
10 лет назад